We’d like to thank Billy Hasley for doing his Eagle Scout project in the cemetery during the summer of 2014. Billy mapped the cemetery for us. Read about his work in this Pittsburgh Post-Gazette article.
View the information sheet below as a PDF.
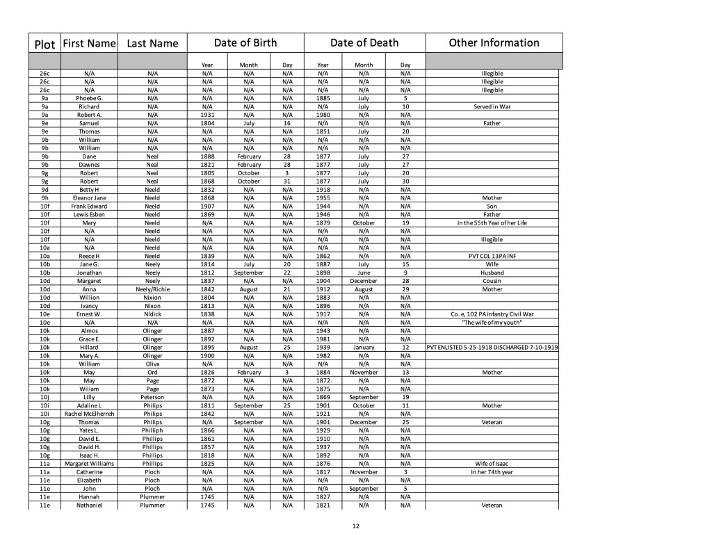
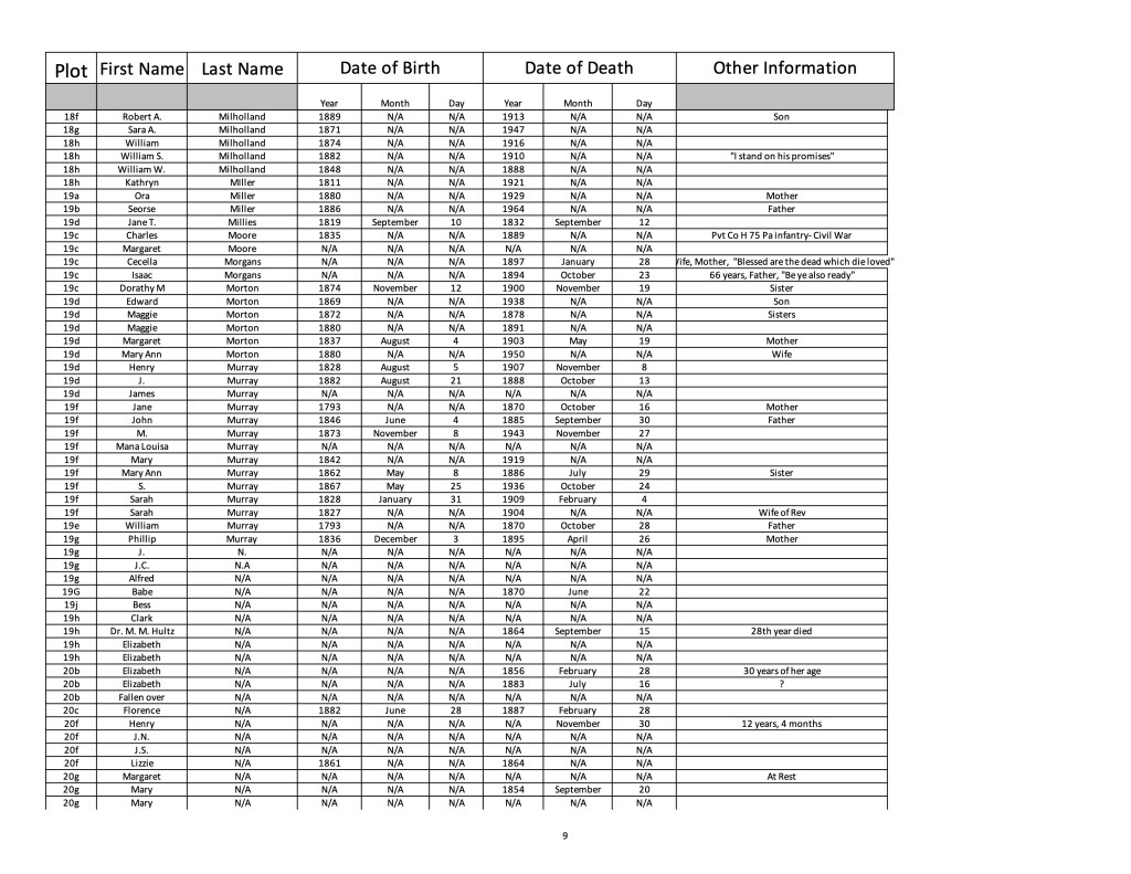
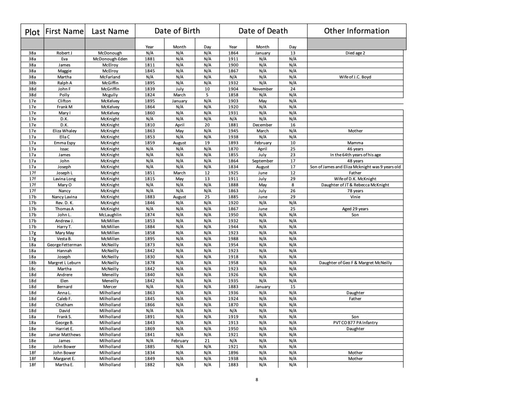
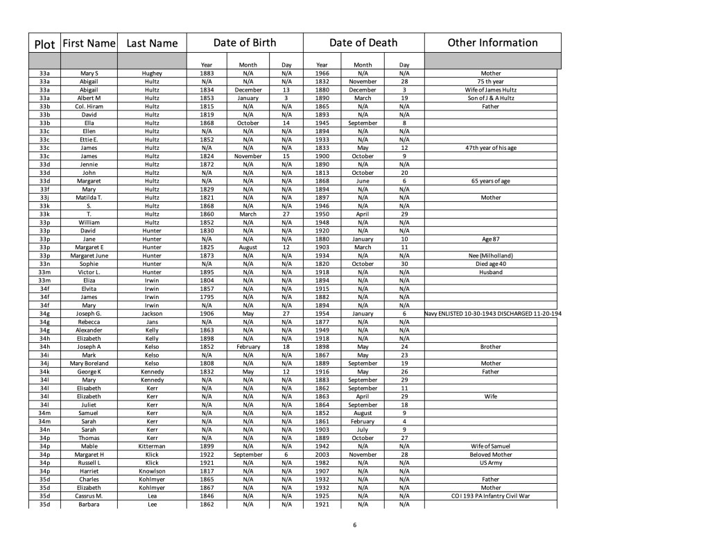
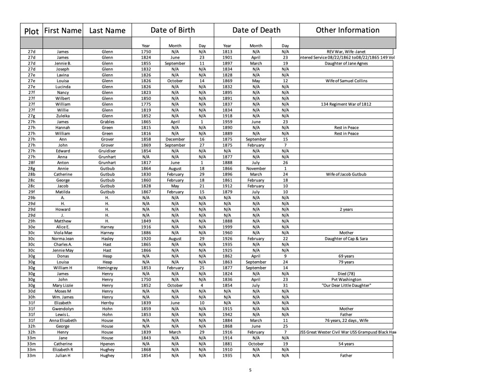
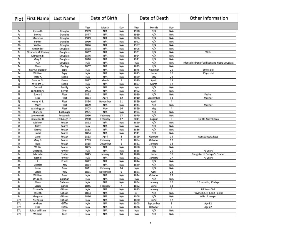
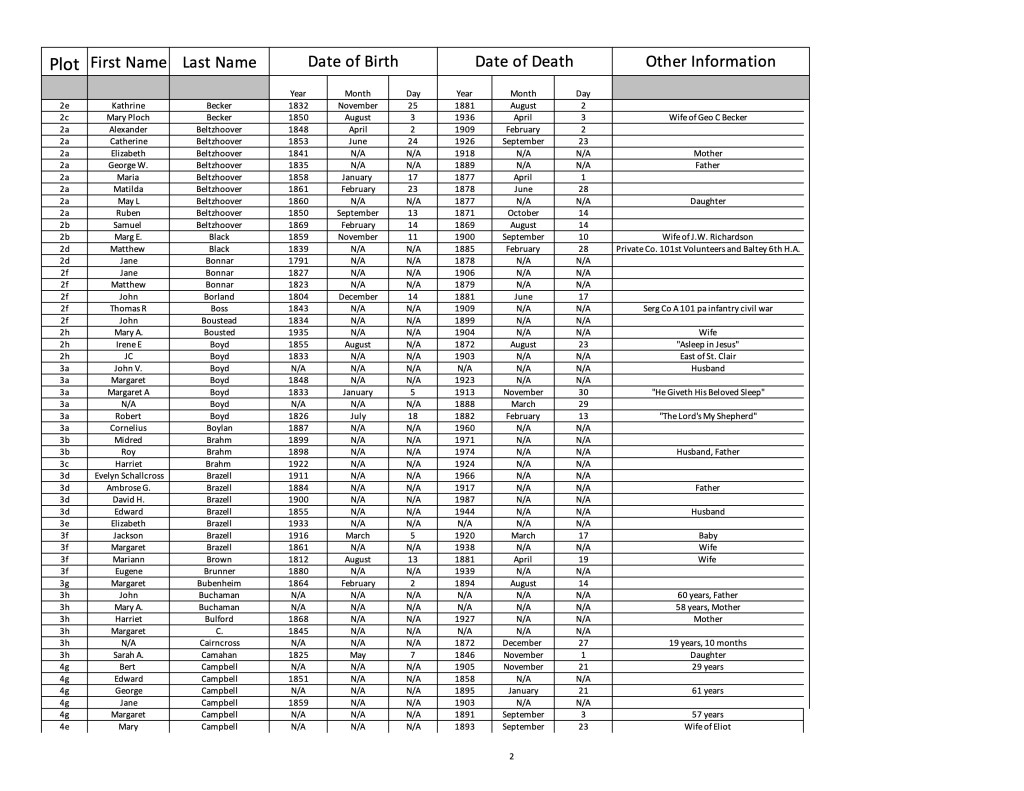
View the maps below as an Excel spreadsheet.















